Login
pendeltonoutlets

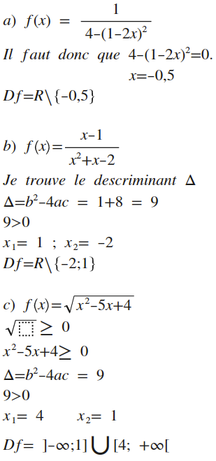
Ensemble de definition maths

Ensemble de definition maths. 2nde Déterminer un ensemble de définition - YouTube. pendeltonoutlets offers high-quality wholesale replicas product, including clothing, accessories, and collectibles. Perfect for reselling or gifting.

Product SKU:

ab891646

About this item

Ensemble de definition maths

Déterminer l'ensemble de définition d'une fonction - Cours, exercices et vidéos maths

Trouver l'ensemble de définition d'une fonction - YouTube

Ensemble de définition d'une fonction : exercice de mathématiques de première - 586428

Cours de Math Premiere S (C et D) | Ensemble de definition d'une fonction | Cours gratuit | APLUS-EDUC

On me demande dans un exercice de maths de déterminer un ensemble de définition d'une fonction et - Nosdevoirs.fr

Details:

2nde Déterminer un ensemble de définition - YouTube, Déterminer l'ensemble de définition d'une fonction - Cours, exercices et vidéos maths, Trouver l'ensemble de définition d'une fonction - YouTube, Ensemble de définition d'une fonction : exercice de mathématiques de première - 586428, Cours de Math Premiere S (C et D) | Ensemble de definition d'une fonction | Cours gratuit | APLUS-EDUC, On me demande dans un exercice de maths de déterminer un ensemble de définition d'une fonction et - Nosdevoirs.fr, Ensemble de définition Racine Carrée d' une fonction | Piger-lesmaths.fr, Déterminer graphiquement le domaine de définition d'une fonction - 2nde - Méthode Mathématiques - Kartable, Valeurs interdites et ensemble de définition d'une fonction - Corrigés d'exercices - AlloSchool, ensemble de définition d'une composée de fonctions - Homeomath, Qu'appelle-t-on ensemble de définition d'une fonction f ? Quelle est l'ensemble de définition de - Nosdevoirs.fr, Trouver l'ensemble de définition d'une fonction, Trouver le domaine de définition d'une fonction rationnelle - YouTube, Ensemble de définition - 2 - Maths-cours, Déterminer l'ensemble de définition d'une fonction avec un quotient et une racine carrée, Ensemble de définition - Cours de maths - YouTube, Introduction de la notion de fonction : la suite, Ensemble de définition d'une fonction / Domaine de définition, MATHS-LYCEE.FR exercice corrigé maths seconde Ensemble de définition connaissant l'expression de la fonction, Ensemble de définition d'une fonction rationnelle(quotient de 2 polynômes), ensemble de définition d'un quotient de fonctions - Homeomath, Déterminer l'ensemble de définition d'une fonction – Video-Maths.fr, Les ensembles de nombres en mathématiques N Z D Q R, Classe de seconde : déterminer l'ensemble de définition d'une fonction - Cours Thierry, Suites numériques - Les révisions du bacosaure, KICKZ - ?KOBE AD NXT 360? The new Kobes.

Customer Reviews

Be the first to write a review for Ensemble de definition maths
0%
(0)
0%
(0)
0%
(0)
0%
(0)
0%
(0)
See all reviews